心急赶路药忘车上,公交司机掉头“闪送”
来源: 海门区交通运输局 发布时间:2025-05-13 10:21 累计次数: 字体:[ ]

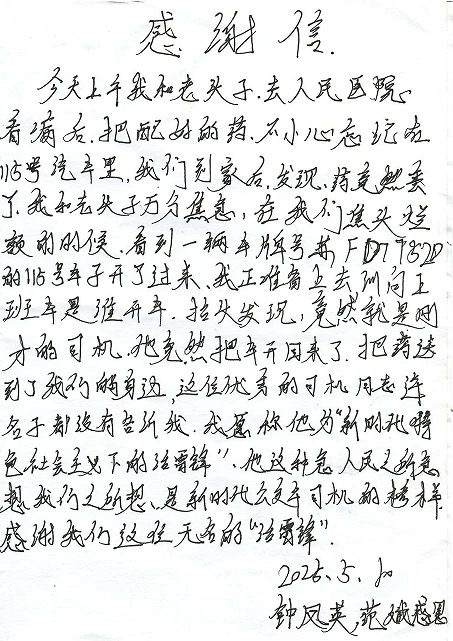
5月10日,海门市民钟凤英、范斌夫妇在海门区人民医院就诊完毕后,乘坐115路公交车返家。沁园站下车后,他们突然惊觉,刚配好的药品竟遗忘在了公交车上。这些药品对老人的健康至关重要,一时之间,夫妇俩急得“焦头烂额”,陷入了深深的焦虑与不安之中。

微信图片_20250811153757.jpg

正当他们心急如焚时,一辆公交车从相反方向缓缓驶来。让夫妇俩倍感意外的是,眼前的司机正是刚刚载乘他们的115路驾驶员。原来,这位心思细腻的司机在发现遗落在车上的药品时,考虑到药品对于乘客的重要性,征得车上乘客同意后,便没有丝毫犹豫,立即调转方向,驾车专程将药品送回。

司机将药品交到钟凤英夫妇手中后,未留下只言片语,便悄然驾车离去。“他连名字都没说,我们只能记住车牌号。”钟凤英在感谢信中这样写道。夫妇俩被司机的善举深深打动,特意写下感谢信,向这位无名司机致以最诚挚的敬意,称赞他用实际行动诠释了责任与善良的真谛,并表示这种正能量值得大力弘扬。

经海门飞鹤公交公司工作人员核实,这位暖心司机名叫周松平。这位普通的公交车驾驶员,用自己的行动传递了正能量,为公司的形象增添了光彩。同时,公司也号召全体员工向周松平学习,将他的这种精神融入到日常的工作中,共同为乘客提供更加优质的服务。